| 网站首页 | 文章中心 | 供求信息 | 标准规范 | 下载中心 | 图片中心 | 洁净书城 | 用户留言 | 层流床 | 
 洁净室及相关受控环境-污染控制网 >> 文章中心 >> 技术论文 >> 正文 用户登录 新用户注册
[推荐]洁净室空调的节能         ★★★★★ 【字体:
洁净室空调的节能
作者:徐文华    文章来源:同济大学暖通空调及燃气研究所    点击数:    更新时间:2010-7-20    

 

洁净室空调的节能

同济大学暖通空调及燃气研究所

徐文华
2009年9月

关键词:洁净室 空调能耗 节能措施

洁净室空调的节能

内容:

1.概述
2.洁净室空调的能耗特点
3.洁净室空调的节能技术措施
4.结语
5.参考文献
6.相关阅读


1.概述

1.1洁净室的应用与发展

·应用领域广泛

    微电子、平板显示器、精密加工、精细化工、生物制品与生物安全、医疗、医药、食品、化妆品...

·规模巨大

    大型洁净厂房中洁净区的面积可达数万平米

·对环境的要求越来越高

    粒子浓度、AMC、静电、微震动...

·净化空调的作用至关重要

1.2洁净室空调的能耗情况

    我国几个洁净室的能耗统计[1] 见下表:

洁净室能耗统计

·洁净室能耗统计的部分数据[1]

·能耗为一般办公建筑的10~30倍

·8寸芯片厂1.86KW/㎡,12寸芯片厂2.88KW/㎡

·5代TFT厂0.98KW/㎡,6代TFT厂1.66KW/㎡

·其中空调通风及冷热源能耗约占40~70%

1.3其他专业对洁净室空调能耗的影响

·周边环境
·厂区规划
·工艺
·人物流
·维护结构形式及材料
·施工
·操作规程

    ——空调节能不是空调专业一家的事情

1.4洁净室空调的节能潜力很大

·总能耗高意味着即时节能比例不大但实际节能效果很可观

·节能管理或改造所需投资与生产线投资与运行费用相比很小

·许多企业实施节能改造与加强节能管理后收益明显[2]

·政府与主管部门支持力度很大

2.洁净室的能耗特点

2.1空调负荷结构与普通空调有明显差别

·空调主要设备分为:

    新风负荷、室内负荷(照明、设备、人员)、维护结构传热负荷。洁净室的维护结构传热负荷占比例很小,但新风负荷、空气输送负荷(风机温升)比例大

下表:

不同级别净化空调负荷组成比例

净化空调负荷组成

对更高级别的垂直单向流洁净室[3]

·对换气次数达400~500次/h,风机全压达1000~1500Pa,采用集中送风系统的风机温升负荷为500~700W/㎡

·由于工业排风量大,新风负荷按不同工艺要求可达400~800W/㎡

·维护结构、人员与照明三项负荷不到空调总负荷的10%

2.2系统风量大、阻力高,输送能耗大

·数十到数百次的换气次数

·三级甚至更多的过滤器级别配置

·新风及排风处理要求高

2.3运行时间长

·16~24小时连续运行

·非生产期间值班运行

2.4全年需要供冷

    ...

2.5送风温差小,再热负荷大

·大风量导致送风温差小,一次回风系统需要再热,再热量可能远大于室内负荷

见下图:

一次回风系统空气处理过程

一次回风系统空气处理过程

3.洁净室空调的节能技术措施

    普通空调节能的所有技术措施原则上也适用于洁净室空调,但净化空调还有自身的特殊性

3.1合理确定换气次数

·室内空气洁净度与室外大气含尘浓度、过滤器配置级别、气流组织形式、室内发尘量及换气次数等众多因素有关,盲目增加换气次数没有意义

·高级别的洁净室(如ISO5级)在实际工程中也有采用非单向流的形式

3.2尽可能运用短循环降低空气输送能耗

见下图:

小型洁净室

小型洁净室

大型洁净厂房

大型洁净厂房

3.3利用微环境降低系统能耗

见下图:

微环境与常规洁净室的对比示意图

微环境与常规洁净室的对比示意图

以某个微环境ISO1级+ISO7及背景环境系统的洁净厂房为例,与传统方式相比[4]

·净化空调系统及厂房的总能耗均减少近80%
·造价减少1400美圆/㎡
·同时获得更灵活的工艺适应性和更高的成品率

3.4利用二次回风降低再热负荷

见图:

新风集中处理一次回风

新风集中处理一次回风

自带新风一次回风

自带新风一次回风

自带新风二次回风

·采用二次回风并不一定能完全取代再热,但可以减少再热量

以某制药厂风量为19965m³/h,新风比为20%,全压为300pa的空调机组夏季工况为例[5]

·采用二次回风比一次回风降低能耗34.6%

·不仅减少了再热造成的冷热抵消额外能耗,一次风量的减少还可减小空调机组的表冷器有效面积,减低了材料消耗与造价

·对于洁净度要求更高的洁净室,由于高换气次数、小送风温差,一次回风系统再热负荷更大,采用二次回风节能效果更明显

图:洁净手术间两次回风空调系统示意图

洁净手术间两次回风空调系统示意图

 

3.5热回收及排风再利用

·排风热回收、冷水机组冷凝热回收

·工艺排热利用

·工艺排风循环利用

图:含有害气体的排风热回收[1]

含有害气体的排风热回收

图:含有害粉尘的排风净化后循环利用

含有害粉尘的排风净化后循环利用


 

3.6温湿度独立控制、非冷冻除湿技术

·由于工艺排风及正压要求,洁净室的新风量较大,新风负荷大

·除湿负荷通常是新风负荷的主要组成

·常规的冷冻除湿能耗大,应利用其他非冷凝除湿技术(固体、液体除湿),利用废热再生除湿剂

3.7变频控制

·风机、水泵的变频控制,减少输送能耗

·定风量系统也可能需要风机变频

3.8免费供冷、供热

免费:不启用人工冷热源的供冷与供热

·过度季及冬季用冷却水供冷

·过度季及冬季用新风供冷

3.9 选用高效节能的冷热源及系统形式

·采用能效比高的冷热源主机

·采用不同冷冻水出水温度的组合冷源

·采用大温差系统

·“新”能源与“新”系统形式(例如水源、地源热泵系统;太阳能辅助系统等)的应用

3.10加强监控与运行管理

·合理设置各项室内环境控制参数

·能耗的计量及相关仪表和系统

·运行调控、相关控制部件和自控系统

·设备、部件与系统的维护保养

·能耗管理机构、制度、人员、责任制

3.11其他措施

·必要的设备和系统更新 风冷改水冷、直流电机FFU、换新主机等

·对工艺设备及流程提出合理改进 开放式污染源改封闭或半封闭等

·提供维护结构的气密性

...

4.结语

4.1注意避免节能效果评价的一些误区

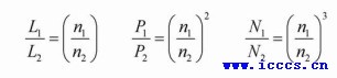
1) 关于泵与风机变频的节能效果

·泵与风机定律泵与风机定律

只适用于相似工况(管网不作调节的简单系统)

·实际泵与风机能耗 N=L×P/η 流量改变时扬程并不按上诉规律相应改变

2)关于排风回收热的节能效果

·热回收装置的理论效率 显热效率 全热效率

热回收装置的理论效率 显热效率 全热效率

 

·实际回收效益还需考虑:

    采用热回收装置后增加的系统能耗(过滤器、管路系统等)、室外气候条件变化的影响、热回收装置性能的衰减、过度季节旁通等

·不能简单比较回收热量与回收系统能耗

3)关于蓄能(冰蓄能、水蓄热蓄冷)技术的节能性

·对于用户而言,采用蓄能技术可能运行费用但不节能

    蓄冰系统可以采用大温差系统降低输送能耗,但主机的制冷量及能耗效率系数都会降低
    蓄能过程伴随能量损耗
    系统复杂增加能耗
    运行费用的节省取决于当地分时电价及政策

·对电厂而言,提高了负荷低谷阶段的发电效率可以节能减排

·要认真做好技术经济分析比较

4.2节能工作是科学问题、技术问题、工程实际问题

·必须认真诊断、设计、施工、调试、运行管理才能取得实效

·节能效益与投资回收期的评价与计算要科学、合理、细致、全面

·要考核实际的节能减排效果,而不是理论分析计算的书面数字

·要转变净化空调强调产品过程的质量和安全而忽视能耗的老观念

参考资料

[1]陈霖新.洁净室与节能.2008中国国际洁净技术论坛文集.苏州.2008
[2]上海市集成电路行业协会.上海市集成电路产业节能减排经验汇编.上海.2009
[3]张利群.电子工程高级别洁净室的建造特点.第十届中国国际洁净技术论坛文集.苏州.2007
[4]姜伟康等.微电子工业与洁净技术的发展.洁净与空调技术.北京.2005-5
[5]魏云娟.一次回风系统和二次回风系统的比较实例.洁净与空调技术.北京.2008-3

本文由同名PPT讲义摘录而成。

相关阅读

兽药GMP车间设计应注意的问题和节能思考
普通空调与医用空调机组的区别
变频调速技术在风机、泵类应用中的节能分析
关于医院洁净手术室应用标准与运行成本的思考
低碳建筑-洁净室建设新趋势
标准《电子工程节能设计规范》

 

 
 
 


建议您将《洁净室空调的节能》收藏到网摘,方便以后查看。点上面的图标就能收藏!

文章录入:icccs    责任编辑:icccs.cn 
  • 上一篇文章:

  • 下一篇文章: 没有了
  • 发表评论】【加入收藏】【告诉好友】【打印此文】【关闭窗口
    最新热点 最新推荐 相关文章
    青霉素等药品生产洁净室的特…
    兽药GMP车间设计应注意的问题…
    洁净室(区)测试中应注意的一…
    制药工程教学用生物净化间的…
    特殊药品生产车间洁净室要求
    药厂洁净室电气系统设计中应…
    100级洁净洗衣房的洁净空调设…
    净化工程的现场施工管理
    不同方法对洁净室空气灭菌效…
    关于洁净室检测若干问题的认…
      网友评论:(只显示最新10条。评论内容只代表网友观点,与本站立场无关!)